近日,南京铁道职业技术学院2025年江苏省专业录取分数公布了!
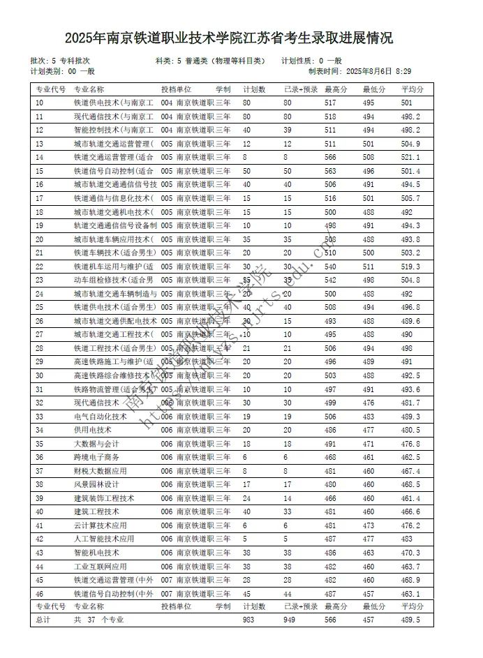
今年南铁院物理类招生专业中,铁道交通运营管理专业录取最高分为566分,录取最低分为508分;铁道信号自动控制专业录取最高分为563分,录取最低分为496分。
历史类招生专业中,铁道交通运营管理专业录取最高分为555分,录取最低分为523分;城市轨道交通运营管理专业录取最高分为554分,录取最低分为520分。
表格内容所示为普通类平行志愿投档各专业录取情况。因身体条件、不服从调剂退档导致未录满专业于征求志愿阶段完成,征求志愿投档线见江苏省教育考试院网站。


表格内容所示为艺术类各专业录取情况。因身体条件、不服从调剂退档导致未录满专业已于艺术类征求志愿阶段完成,征求志愿投档线见江苏省教育考试院网站。


注:本文内容来源南铁院招生办公众号,由江苏招生考试网团队(微信公众号:jszkwx)排版编辑,如有侵权,请及时联系管理员删除。

