赋分制是新高考中最难懂也是最重要的政策,关系到选科策略。了解透了可以扬长避短,更好发挥考生优势。
在此,江苏招生考试网小编就结合具体示例,给大家讲解新高考“3+1+2”模式中的赋分制,帮助新高一学生及家长提前了解,为选科做准备!
“3”:语文、数学、外语3科满分均为150分,总分450分,各科均以原始成绩计入考生总成绩;
“1”:物理或历史必选一科,满分为100分,以原始成绩计入考生总成绩;
“2”:政治、地理、化学、生物任选2科,每科满分均为100分,以等级赋分成绩计入考生总成绩。
也就是说,涉及到“等级转换赋分”的科目,是政治、地理、化学、生物4门,这4门要以等级赋分后的成绩计入总成绩。
赋分制的含义
新高考下实行等级赋分,让选择同一科的同学进行对比,然后赋分,这样有利于解决因试题难度不同而导致的不公平。
大家首先注意两点:
1.等级赋分制不是按照考生的卷面分数来计算成绩。遵循“原始分数--百分比例--等级--转化分数”的等级赋分路径。
2.等级赋分由相关主管部门自动完成,大家在查询到自己的高考成绩时,看到的已经是赋分后的分数,不需要大家自行换算。
具体换算过程:
1.固定的比例及对应的等级、赋分区间。
以实际参加该科选考人数的成绩为基数,将各考生原始成绩从高到低划分为A、B、C、D、E共5个等级,各等级人数所占比例分别约为15%、35%、35%、13%和2%。

以上的5个等级及各等级对应的比例及赋分区间是事先设定的固定规则,转换后赋分成绩满分为100分,赋分起点为30分。
例1:某学科原始分前15%的考生最高分为100分,最低分为95分,则该学科A等级的原始分区间为【100~95】。
已知A等级赋分区间为【100~86】分(固定不变),
也就是说,原始分【100~95】的考生为A等级,赋分后最终成绩为【100~86】分。
例2:某学科考试成绩最后2%的考生最高分为20分,最低分为5分,则该科目E等级的原始分区间为【20~5】。
已知E等级赋分区间为【40~30】分(固定不变),
也就是说,原始分【20~5】的考生为E等级,赋分后最终成绩为【40~30】分。
极端地讲,假设这个区间某考生原始分为5分,赋分后也能拿到30分。
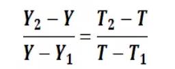
2.等级转换的具体公式:

其中:
Y1、Y2分别表示原始分区间的下限和上限;
T1、T2分别表示转换分区间的下限和上限;
Y表示原始分;
T表示转换分。
考虑到高考分数都以整数呈现,故上述公式的计算结果需要进行“四舍五入”处理。
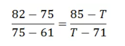
例1:
假设小淘同学政治学科原始分为75分,再假设政治学科B等级原始分区间为【82~61】,则小淘同学政治学科为B等级。
下面进行赋分换算:
B等级的赋分区间【85~71】(固定不变),那么小淘同学赋分后分数为:

解得,T≈80.33;四舍五入后小淘同学政治学科最终赋分成绩为80。

例2:假设小淘同学地理学科原始分为75分,再假设地理学科B等级原始分区间为【88~75】,则小淘同学地理学科为B等级。
下面进行赋分换算:
B等级的赋分区间【85~71】(固定不变),小淘同学考了B等级原始分区间的最低分,所以小淘同学地理学科最终赋分成绩为71。
注:本文内容来源网络,由江苏招生考试网团队(微信公众号:jszkwx)排版整理,如有侵权,请及时联系管理员删除。

