2019年第35届全国高中数学联赛考试结束。在此,小编整理了本次联赛考试的试题及答案,供大家参考哦。
此次数学联赛将产生省级一、二、三等奖,将选拔出省队成员参加中国数学奥林匹克(CMO)。各省获奖名单预计在9月下旬陆续公布,家长和考生可持续关注。
数学联赛由全国高中数学联赛组委会统一命题,分一试和二试。一试考试时间为8:00—9:20,共80分钟,包括8道填空题(每题8分)和3道解答题(分别为16分、20分、20分),满分120分。二试(也称加试)考试时间为9:40—12:30,共170分钟,包括4道解答题,涉及平面几何、代数、数论、组合四个方面。前两题每题40分,后两题每题50分,满分180分。(部分地区一试二试一起考)
参加全国高中数学联赛的学生可以自愿选择是否参加“全国高中数学联赛加试”;有意获得赛区一等奖和有意参加全国中学生数学冬令营的学生必须参加联赛一试及联赛二试(加试),并以两试的总分作为确定赛区一等奖、冬令营营员的标准。
数学联赛试题依然分AB卷两套试卷,浙江、江苏、河北、湖南、湖北、北京、上海、广东等绝大数省份使用A卷;极少数偏远地区则使用B卷。B卷偏重对计算能力的考察,对思维方面的考察略低。
2019数学联赛试题A卷
A卷一试:

参考答案:
参考答案仅供考生参考估分,非官方公布答案,后续自主招生团队会及时更新官方答案,敬请关注。





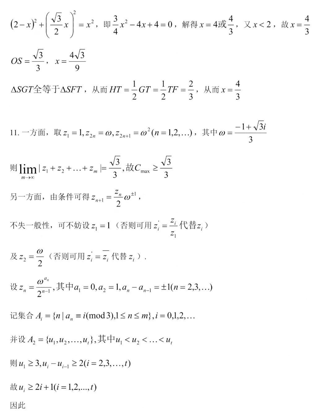
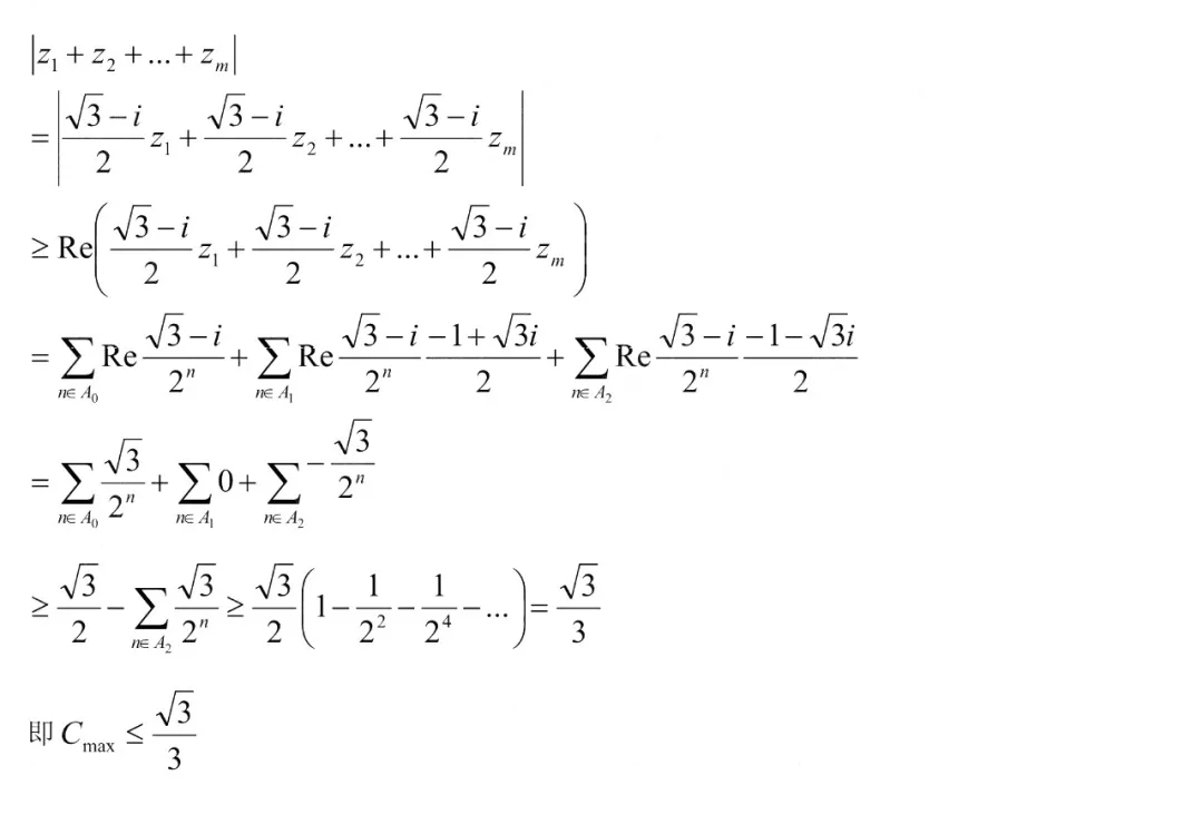
A卷二试:

参考答案:
参考答案仅供考生参考估分,非官方公布答案,后续自主招生团队会及时更新官方答案,敬请关注。



注:本文内容来源中国数学会及网络,由自主招生团队(微信公众号:jszzzs)综合整理,如有侵权,请及时联系管理员删除。

